Beranda
/ Lim X Mendekati 0 Xtanx/1-Cos2X / 120 Soal Dan Pembahasan Limit Fungsi Trigonometri : The limit of multiplication of the functions can be split as product of their limits as per the product rule of limits.
Lim X Mendekati 0 Xtanx/1-Cos2X / 120 Soal Dan Pembahasan Limit Fungsi Trigonometri : The limit of multiplication of the functions can be split as product of their limits as per the product rule of limits.
Lim X Mendekati 0 Xtanx/1-Cos2X / 120 Soal Dan Pembahasan Limit Fungsi Trigonometri : The limit of multiplication of the functions can be split as product of their limits as per the product rule of limits.. X) × ( lim x → 0 x tan 3. Now, let's focus on simplifying the mathematical expression. Single and dual manipulator and many options and accessories The limit of multiplication of the functions can be split as product of their limits as per the product rule of limits. = lim x → 0 1 − 1 + 2 sin 2.
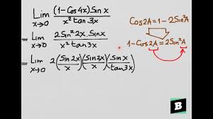
We can take the derivative of our numerator and denominator function to obtain the new limit. The limit of multiplication of the functions can be split as product of their limits as per the product rule of limits. Ubah dulu bentuk pembilangnya, hilangkan bagian pengurangan, sehingga semuanya dalam bentuk perkalian. X ( 1 − cos. Lim x→0 1 −cosx x2 = 1 2.
Limit Tak Hingga Fungsi Trigonometri Konsep Matematika Koma from 1.bp.blogspot.com Oct 03, 2019 · soal : X ( 1 − cos. We can take the derivative of our numerator and denominator function to obtain the new limit. The limit of multiplication of the functions can be split as product of their limits as per the product rule of limits. Now, let's focus on simplifying the mathematical expression. Through direct evaluation, we would get indeterminate form again, so we can take the derivatives once more to get. Which is the indeterminate form of lim x→0? Is there a second limit to the lim x?
Oct 03, 2019 · soal :
Is there a second limit to the lim x? = lim x → 0 1 − ( 1 − 2 sin 2. = ( lim x → 0 2 1 − tan 2. X ( 1 − cos. Now, let's focus on simplifying the mathematical expression. Which is the indeterminate form of lim x→0? When we evaluate this limit at zero, we get. Lim x→0 1 −cosx x2 = 1 2. We can take the derivative of our numerator and denominator function to obtain the new limit. = lim x → 0 1 − 1 + 2 sin 2. Through direct evaluation, we would get indeterminate form again, so we can take the derivatives once more to get. 2 x can be expanded in cosine or sine but there is no limit rule in cosine. Single and dual manipulator and many options and accessories
2 x can be expanded in cosine or sine but there is no limit rule in cosine. Now, let's focus on simplifying the mathematical expression. = lim x → 0 1 − 1 + 2 sin 2. Hence, it is better to expand the cosine double angle function in sine. Through direct evaluation, we would get indeterminate form again, so we can take the derivatives once more to get.
Limit 1 Cos2x X Tanx X Nya Mendekati Nol Matematika Sma from 1.bp.blogspot.com 2 x can be expanded in cosine or sine but there is no limit rule in cosine. When we evaluate this limit at zero, we get. = lim x → 0 1 − 1 + 2 sin 2. Single and dual manipulator and many options and accessories X ( 1 − cos. Is there a second limit to the lim x? X) × ( lim x → 0 x tan 3. Hence, it is better to expand the cosine double angle function in sine.
Hence, it is better to expand the cosine double angle function in sine.
X) × ( lim x → 0 x tan 3. When we evaluate this limit at zero, we get. Ubah dulu bentuk pembilangnya, hilangkan bagian pengurangan, sehingga semuanya dalam bentuk perkalian. Single and dual manipulator and many options and accessories Hence, it is better to expand the cosine double angle function in sine. Is there a second limit to the lim x? X ( 1 − cos. = lim x → 0 1 − ( 1 − 2 sin 2. Oct 03, 2019 · soal : The limit of multiplication of the functions can be split as product of their limits as per the product rule of limits. Which is the indeterminate form of lim x→0? We can take the derivative of our numerator and denominator function to obtain the new limit. Now, let's focus on simplifying the mathematical expression.
= lim x → 0 1 − 1 + 2 sin 2. X) × ( lim x → 0 x tan 3. When we evaluate this limit at zero, we get. We can take the derivative of our numerator and denominator function to obtain the new limit. Lim x→0 1 −cosx x2 = 1 2.
120 Soal Dan Pembahasan Limit Fungsi Trigonometri from cdn.slidesharecdn.com Single and dual manipulator and many options and accessories Oct 03, 2019 · soal : 2 x) 2) now, find the limit of the first factor by the direct substitution but do not disturb the second factor. Lim x→0 1 −cosx x2 = 1 2. Single and dual manipulator and many options and accessories Hence, it is better to expand the cosine double angle function in sine. 2 x can be expanded in cosine or sine but there is no limit rule in cosine. We can take the derivative of our numerator and denominator function to obtain the new limit.
When we evaluate this limit at zero, we get.
Oct 03, 2019 · soal : = ( lim x → 0 2 1 − tan 2. When we evaluate this limit at zero, we get. X ( 1 − cos. Is there a second limit to the lim x? The limit of multiplication of the functions can be split as product of their limits as per the product rule of limits. 2 x can be expanded in cosine or sine but there is no limit rule in cosine. Which is the indeterminate form of lim x→0? X) × ( lim x → 0 x tan 3. Lim x→0 1 −cosx x2 = 1 2. = lim x → 0 1 − ( 1 − 2 sin 2. Ubah dulu bentuk pembilangnya, hilangkan bagian pengurangan, sehingga semuanya dalam bentuk perkalian. Through direct evaluation, we would get indeterminate form again, so we can take the derivatives once more to get.
Berbagi
Posting Komentar
untuk "Lim X Mendekati 0 Xtanx/1-Cos2X / 120 Soal Dan Pembahasan Limit Fungsi Trigonometri : The limit of multiplication of the functions can be split as product of their limits as per the product rule of limits."
Posting Komentar untuk "Lim X Mendekati 0 Xtanx/1-Cos2X / 120 Soal Dan Pembahasan Limit Fungsi Trigonometri : The limit of multiplication of the functions can be split as product of their limits as per the product rule of limits."